
渦街流量計也被稱之為旋渦流量計或卡門渦街流量計。綜合吸收了發達國家先進技術和總結多年研究生產經驗的基礎上進行精心設計的產品,實現了產品智能化,標準化、系列化、通用化、生產模具化等、確保了產品質量的美觀性。而氣體渦街流量計原理基于熱擴散原理設計,采用恒溫差法對氣體進行準確測量,利用流體流動時流體與固體間的熱交換,通過測量熱量的傳遞,轉移和平衡的關系來求得流體流量的數值。
渦街流量計也被稱之為旋渦流量計或卡門渦街流量計。綜合吸收了發達國家先進技術和總結多年研究生產經驗的基礎上進行精心設計的產品,實現了產品智能化,標準化、系列化、通用化、生產模具化等、確保了產品質量的美觀性。而氣體渦街流量計原理基于熱擴散原理設計,采用恒溫差法對氣體進行準確測量,利用流體流動時流體與固體間的熱交換,通過測量熱量的傳遞,轉移和平衡的關系來求得流體流量的數值。下面重點闡述產品的詳細介紹。
氣體渦街流量計的測量:
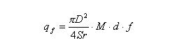
在流體測量中安放非流線型旋渦發生體,流體在旋渦發生體兩側交替分離釋放出兩列規則的交替排列的旋渦渦街。在一定的流量范圍內,旋渦的分離頻率與流經渦街流量傳感器處流體的體積流量成正比關系。氣體渦街流量計的理論流量方程為:
式中,qf為工況下的體積流量,m3/s;D為表體通徑,mm;M為旋渦發生體兩側弓形面積與管道橫截面積之比;d為旋渦發生體迎流面寬度,mm;f為旋渦的發生頻率,Hz;Sr為斯特勞哈爾數無量綱。以上就是測量的計算公式。
氣體渦街流量計的選型:
在口徑選型中或在設計選型中由于工藝條件的變動,會使用選擇偏大的一個規格。實際操作中的選型應選盡量小的口徑,這樣能提高測量的精度。如:一路渦街管線設計上是供幾個氣動設備使用的,但由于工藝的原因部分設備有時候不使用,致使目前實際壓縮的空氣流量減小。
在實際使用時設計選型的口徑過大,這等于提高了可測的流量下限,流量大時還可以使用,而工藝管道小流量時指示精度無法保證。若要改造重排有時難度很大,工藝條件的變動只是臨時的,可結合參數的重新整定以提高指示準確度。因此在氣體渦街流量計的選型時,一定要注意其口徑的大小。
氣體渦街流量計的測量介質分類:
1、測量氣體時,需要溫度壓力同時補償;氣體一般都以標準狀況體積流量結算。因為氣體的體積流量溫度或壓力變化時,流量都會發生改變。
2、測量過熱蒸汽時,需要溫度壓力同時補償;蒸汽一般都以質量流量結算。因為溫度或壓力有任何一個發生變化,蒸汽的密度會發生改變,質量流量也隨之改變。
3、測量飽和蒸汽時,需要單溫度補償或單壓力補償。飽和蒸汽的密度與溫度或壓力有一個固定的對應關系,知道其中的任何一個,都可以確定飽和蒸汽的密度。
氣體渦街流量計的安裝環境要求:
1、儀表安裝最好在室內,安裝在室外應注意防水,特別注意在電氣接口處應將電纜線彎成U形,避免水順著電纜線進入放大器殼內。
2、儀表安裝點周圍應該留有較充裕的空間,以便安裝接線和定期檢測和維護。
3、儀表安裝盡可能避開強電設備、高頻設備,強開關電源設備等。儀表的供電電源盡可能與這些設備分離,避免輻射影響測量數值。
2、儀表安裝盡可能避開高溫熱源和輻射源的直接影響。若必須安裝,須有隔熱通風措施。
3、儀表安裝要避開高濕環境和強腐蝕氣體環境。若必須安裝,須有通風保護措施。
4、儀表安裝應盡量避免安裝在振動較強的管道上。若必須安裝,須在其上下游2D處加設管道緊固裝置,并加防振墊加強抗振效果。
總結:氣體渦街流量計是通過流量計內的漩渦發生體時,在其下游產生兩列不對稱的漩渦即卡門渦街。通過測量漩渦的頻率,以推算出流體的流量。這種流量計的結構簡單,安裝和維護都相對方便,適用于工業管道介質流體的流量測量,如氣體、液體、蒸汽等多種介質。由于其測量范圍廣,精度高、可靠性高等特點,被廣泛應用于化工、石油、冶金、電力等眾多行業。以上就是氣體渦街流量計的詳情介紹,更多產品詳情內容請關注“質量流量控制器”欄目。